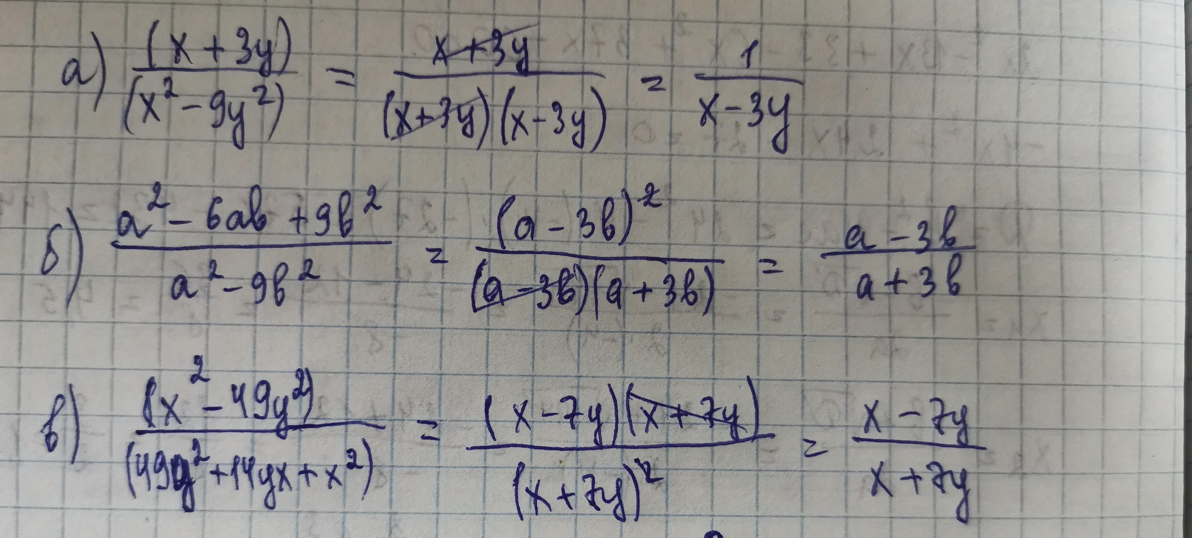
137. Представьте выражение в виде дроби и сократите её:
а) (х + 3у): (х2 – 9y2);
б) (@2 — баb + 9ь2): (а2 – 962);
в) (x2 – 49y2): (492 +14xy + x2);
г) (m — 4n)2: (32n2 – 2m2).
Ответы
Ответ дал:
1
Ответ:
Сделала а, б и в (во вложении)
Пошаговое объяснение:
Приложения:

Вас заинтересует
2 года назад
2 года назад
3 года назад
3 года назад
8 лет назад
8 лет назад
9 лет назад