Помогите, пожалуйста, на сайте нет правильного решения
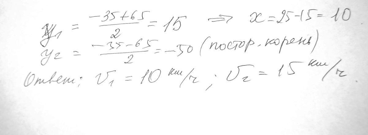
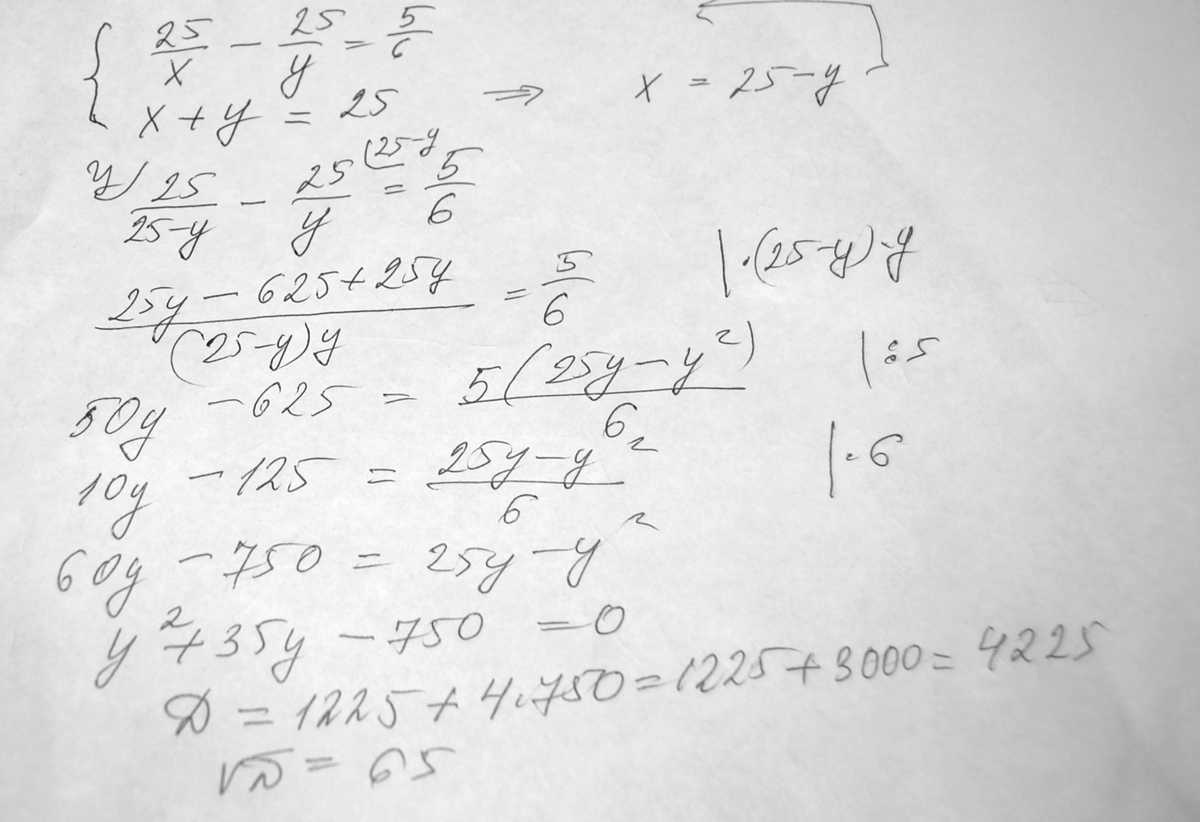
Из А в Б вышел лыжник. Через 50 мин другой лыжник вышел из Б в А. В конечные пункты они пришли одновременно через час после встречи. Найдите скорости лыжников, если расстояние между А и Б равно 25 км.
Ответы
Ответ дал:
0
Решение ================== >
Приложения:
Вас заинтересует
3 года назад
3 года назад
8 лет назад
8 лет назад
11 лет назад
11 лет назад
11 лет назад