Ответы
Ответ дал:
1
Ответ:
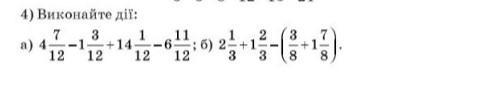
прикрепил. Переносим из смешанной в неправильную дробь.
Приложения:

Аноним:
спасибо
Вас заинтересует
2 года назад
2 года назад
3 года назад
3 года назад
8 лет назад
8 лет назад
9 лет назад