• Предмет: Алгебра
  • Автор: lesenkom496
  • Вопрос задан 7 лет назад

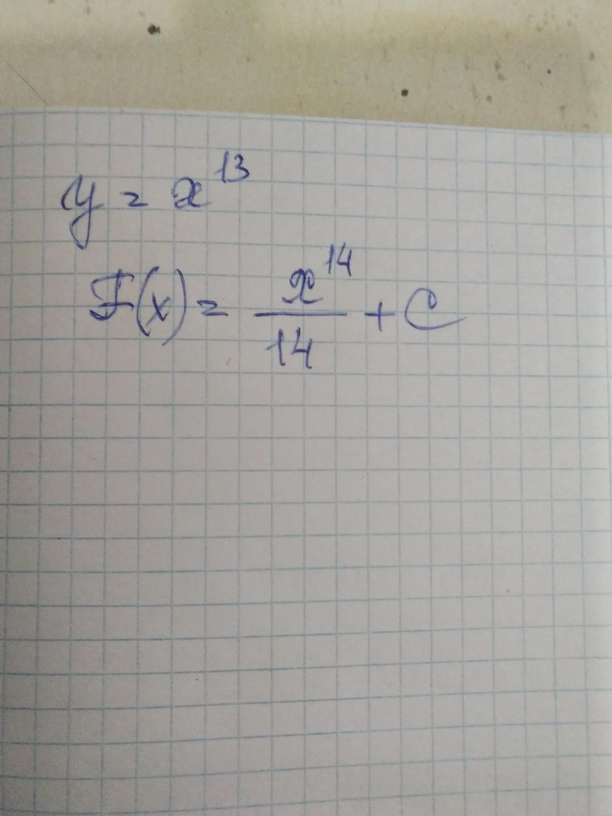
Знайди первісну функції у=х^13 (це х в 13 степені)


MizoriesKun: А по -русски что найти ?
lesenkom496: Знайди первісну функції у=х^13 (це х в 13 степені)
lesenkom496: дуже треба отвєт
MizoriesKun: По украинси не понимаю
lesenkom496: Найти первоначальную функцию у=х^13 (это х в 13 степени)
MizoriesKun: Найти первообразную
lesenkom496: да
lesenkom496: а не первоначальную функцию

Ответы

Ответ дал: MizoriesKun
2

Смотри......................

Приложения:
Вас заинтересует