• Предмет: Математика
  • Автор: miniwars5555555775
  • Вопрос задан 7 лет назад

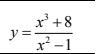
найдите область определения и область значения функции

Приложения:

Ответы

Ответ дал: sokolover975
0

1)D(y), при X

(-бесконеч;-1)u(-1;1)u(1;+бесконеч)

2)xeR (все действительные числа)


miniwars5: а можешь расписать как у тебя это получилось ?
sokolover975: извини, но у меня нет времени, я сейчас ухожу на трешу. может тебе кто-то напишет
Вас заинтересует