• Предмет: Алгебра
  • Автор: vinnuchenko
  • Вопрос задан 8 лет назад

срочно надо, помогите пожалуйста​

Приложения:

Ответы

Ответ дал: yasinko1981
0

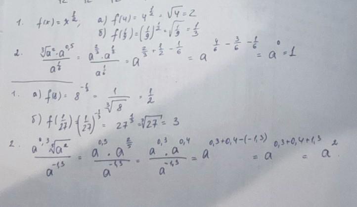
Ответ:

используем правила действий со степенями

Приложения:
Вас заинтересует