Ответы
Ответ дал:
1
Ответ:
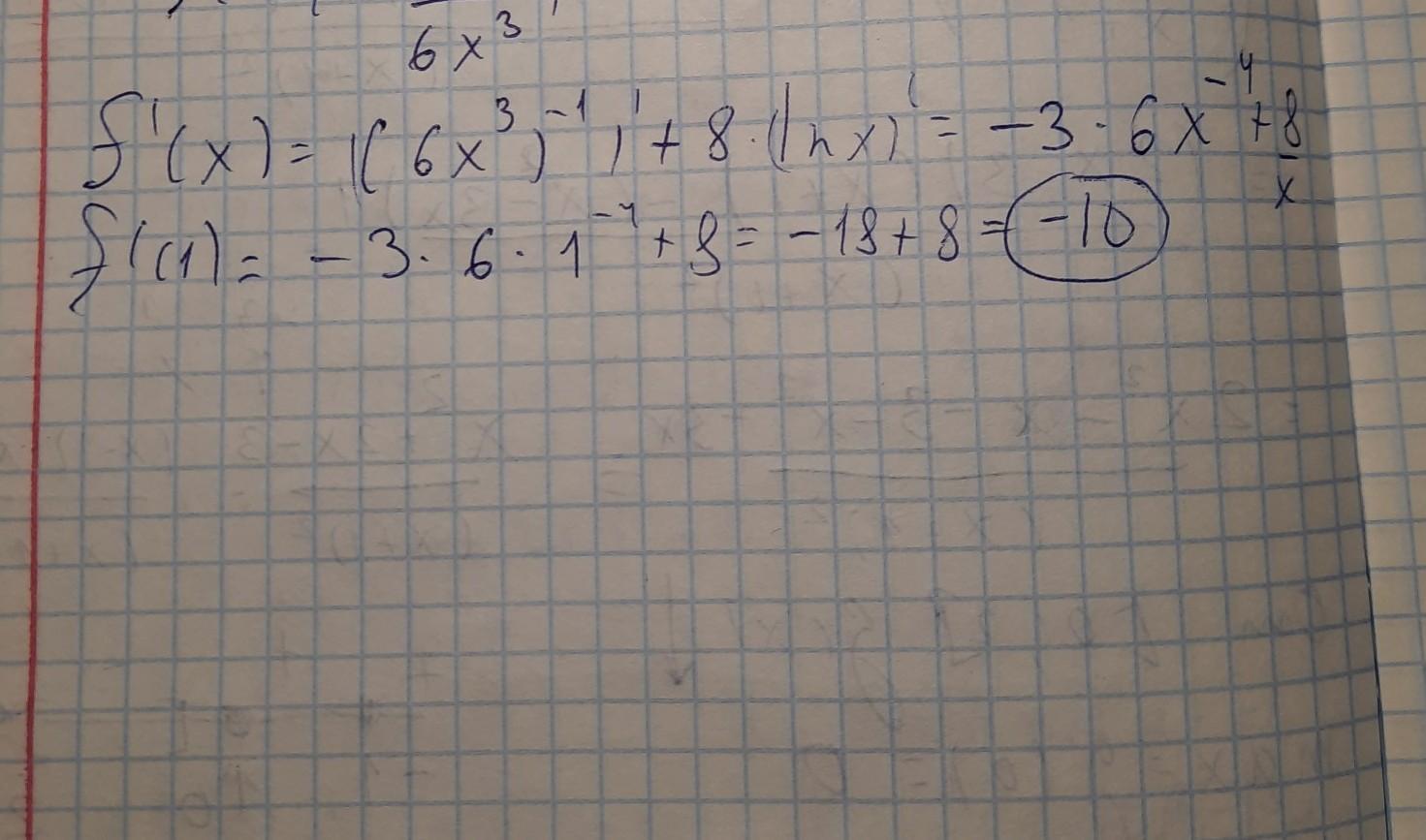
дробь прелставляем в виде отрицательной степени
Пошаговое объяснение:
используем табличные производные
Приложения:

Вас заинтересует
2 года назад
3 года назад
3 года назад
8 лет назад
8 лет назад