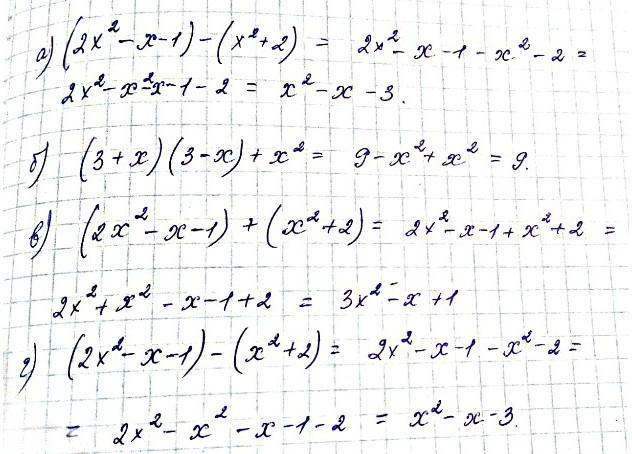
а)Спростити (2х^2 - х - 1) - ( х^2 + 2) =
б)Спростити (3+х)(3-х) + х^2 =
в)Спростити (2х^2 - х - 1) + ( х^2 + 2) =
г)Спростити (2х^2 - х - 1) - ( х^2 + 2) =
Ответы
Ответ дал:
1
см. вложение ..........
Приложения:

Вас заинтересует
2 года назад
2 года назад
3 года назад
3 года назад
8 лет назад
9 лет назад
9 лет назад