• Предмет: Алгебра
  • Автор: KassiyKolhaun
  • Вопрос задан 8 лет назад

помогите пж, фигню не пишите​

Приложения:

Ответы

Ответ дал: slganiev
1

Відповідь:

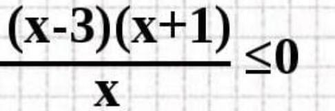
Х1=-1    Х2=3     Х≠0

Пояснення:

в знаменнику Х , тому Х≠0   а тепер чисельник (х-3)(х+1)≤0  отримуємо каадратне рівняння і вирішимо його за допомогою дискримінанти(можна і за Вієтою)   , розіязавши отримуємо слідуючі корені:  Х1=-1   Х2=3

Вас заинтересует