• Предмет: Алгебра
  • Автор: Cjygf
  • Вопрос задан 7 лет назад

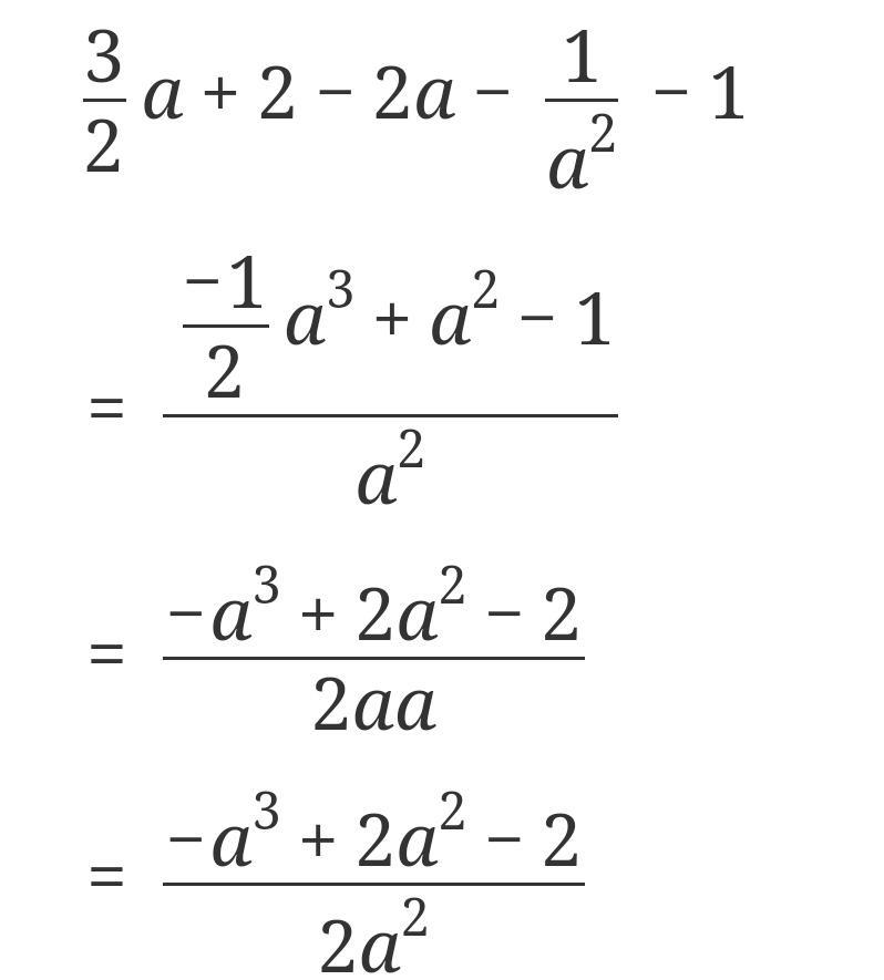
Упростить выражение 3/2a+2-2a-1/a2-1​

Ответы

Ответ дал: dmitrokorol
0

Ответ:___________

Объяснение:

Приложения:
Вас заинтересует