Ответы
Ответ дал:
2
Ответ:
Объяснение:
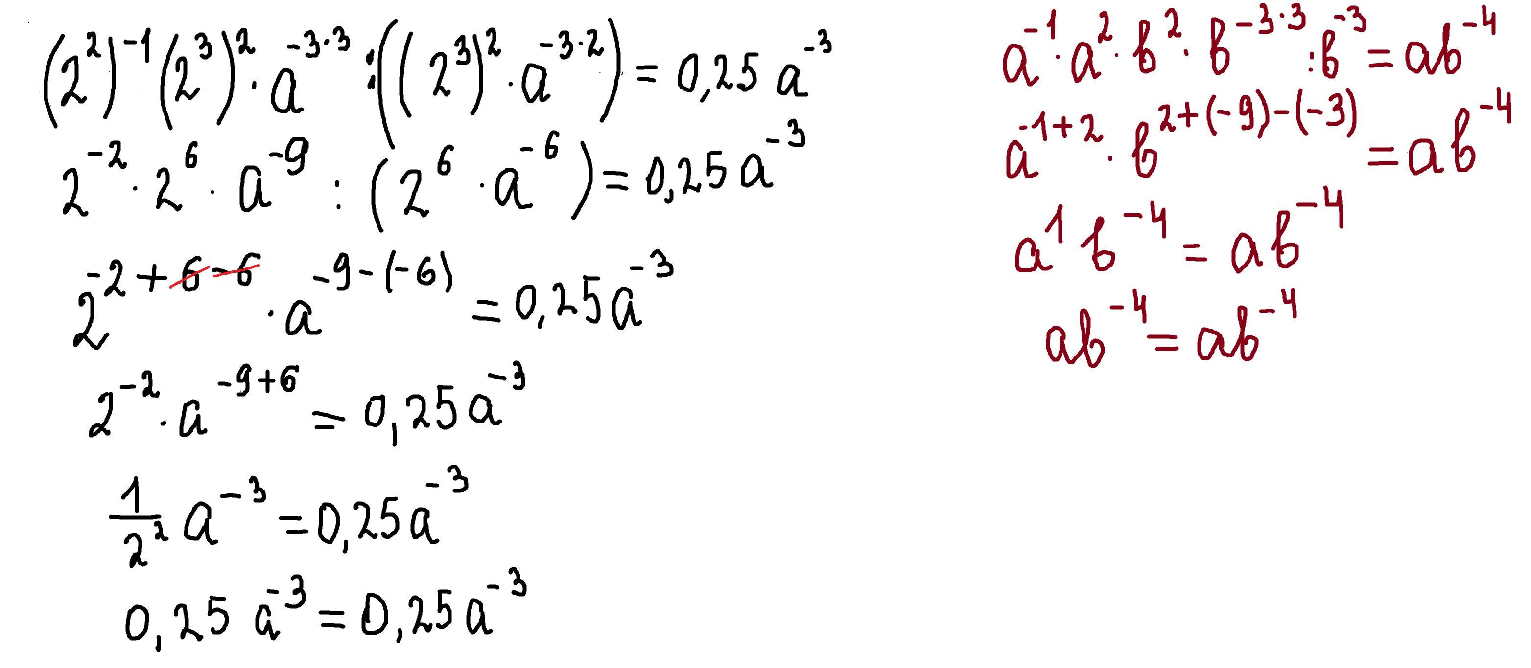
при умножении степеней с одинаковым основанием показатели складываются,при делении-вычитаются.при возведении степени в степень показатели перемножаются.выполняем преобразование в левой части,до тех пор пока она не станет равной правой части.
Приложения:

dima80108:
спасибо
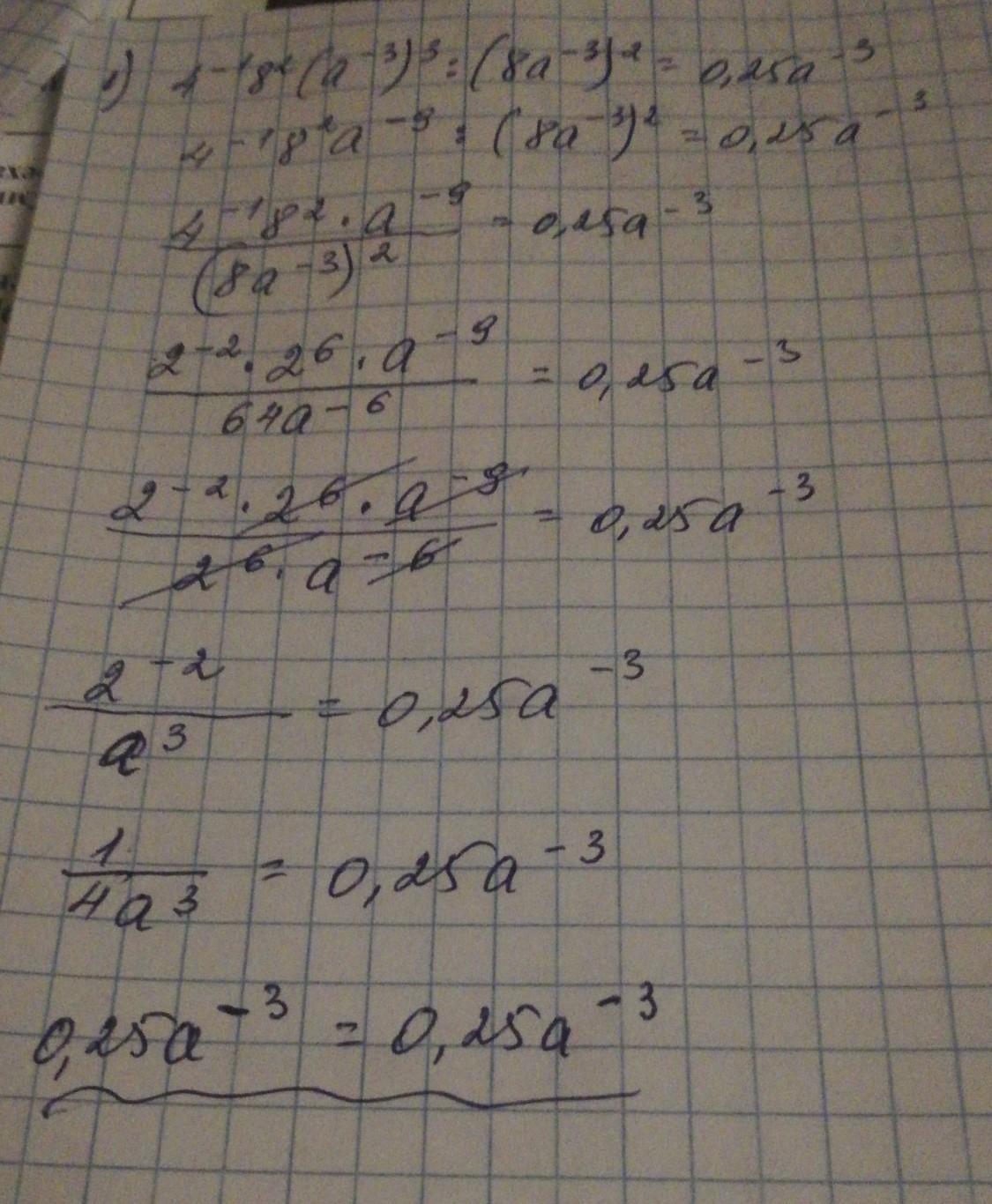
Ответ дал:
1
Ответ:
Смотри решение на фото..
Приложения:


Вас заинтересует
2 года назад
3 года назад
3 года назад
8 лет назад
8 лет назад
9 лет назад
9 лет назад