• Предмет: Алгебра
  • Автор: zehrailyas56
  • Вопрос задан 8 лет назад

помогите пожалуйста срочно​

Приложения:

Ответы

Ответ дал: yasinko1981
1

Ответ:

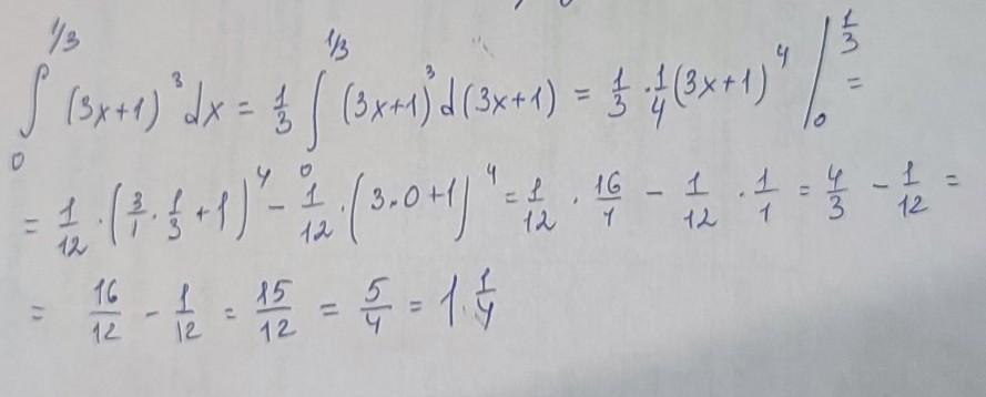
пользуемся правилами интегрирования

Приложения:
Вас заинтересует