Ответы
Ответ дал:
0
Відповідь:
........................
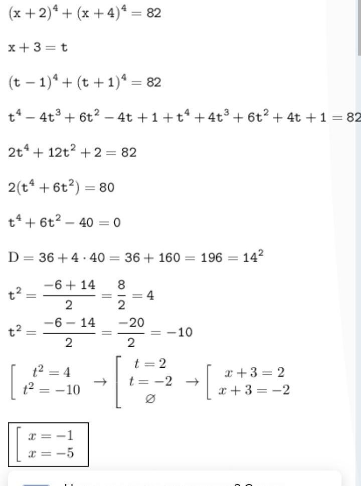
Приложения:


Ответ дал:
0
Объяснение:
ось будь ласка,успіхів
Приложения:

Вас заинтересует
2 года назад
3 года назад
8 лет назад
8 лет назад
9 лет назад
9 лет назад