Ответы
Ответ дал:
0
Ответ:
Объяснение:
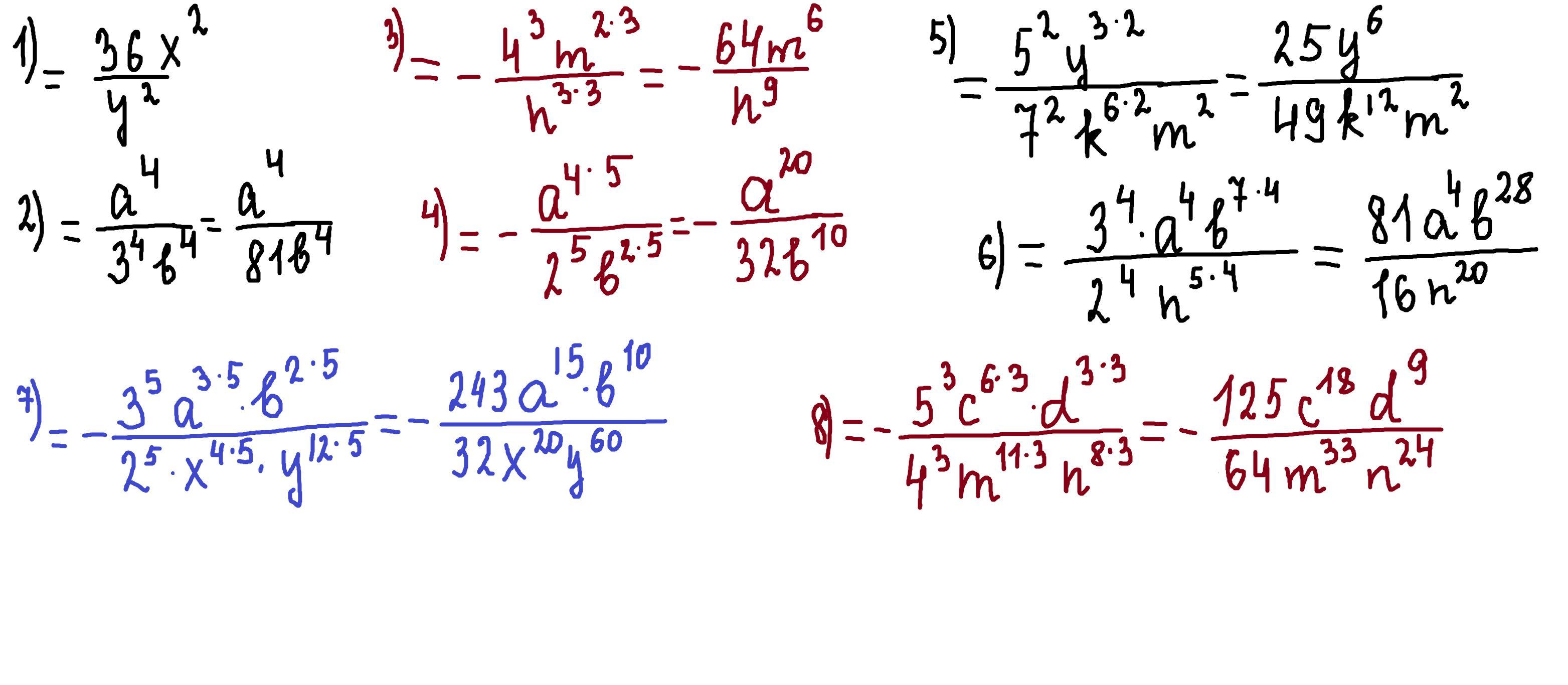
решение смотри внизу
при умножении степеней с одинаковым основанием показатели складываются,при делении-вычитаются.при возведении степени в степень показатели перемножаются.выполняем преобразование в левой части,до тех пор пока она не станет равной правой части.
Приложения:

Вас заинтересует
2 года назад
3 года назад
3 года назад
8 лет назад
9 лет назад