• Предмет: Математика
  • Автор: Kirillstretovitc
  • Вопрос задан 8 лет назад

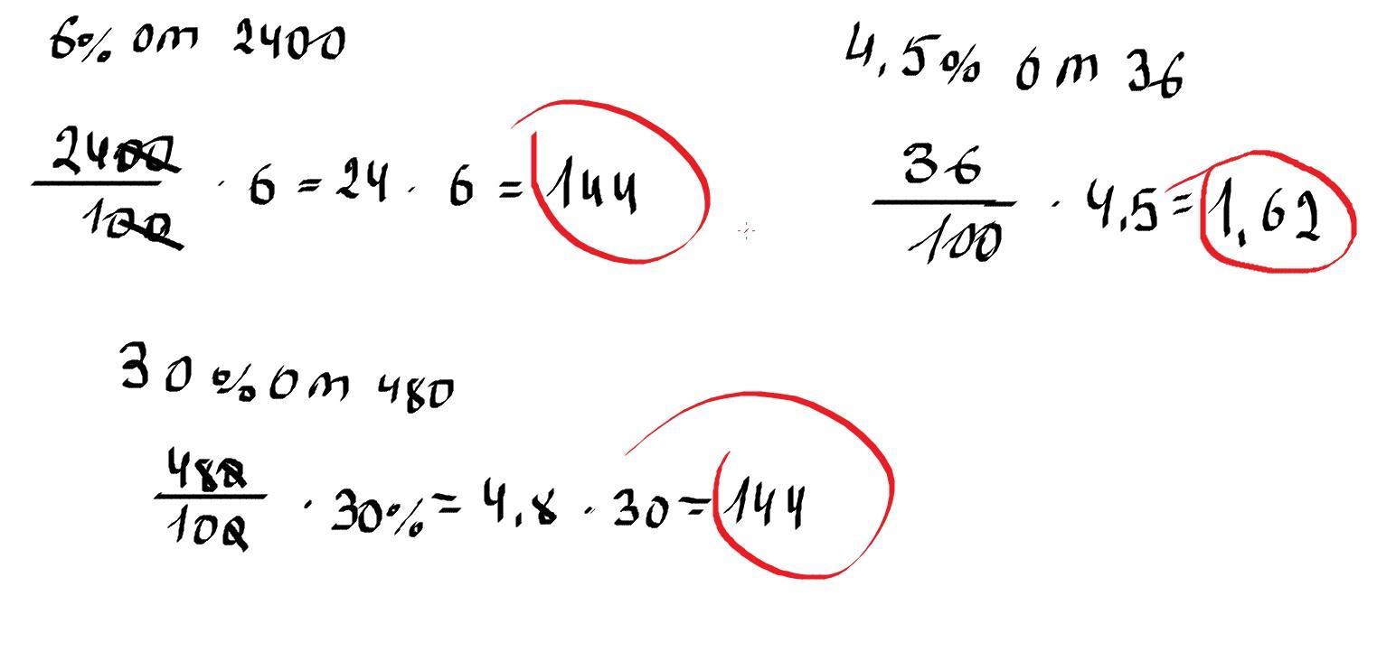
Знайте 6% від 2400г 30% від 480мм 4,5% від 36л

Ответы

Ответ дал: Fireworld40
1

Ответ:

..........................

Пошаговое объяснение:

Приложения:
Ответ дал: parus77
0

Ответ:

Пошаговое объяснение:

2400:100*6= 24*6=144 г

480:100*30=4,8*30=144 мм

36:100*4,5=0,36*4,5=1,62 л

Вас заинтересует