• Предмет: Математика
  • Автор: lemanhesenzade4
  • Вопрос задан 8 лет назад

помогите, решениями и с объяснениями​

Приложения:

Ответы

Ответ дал: lizacaxap
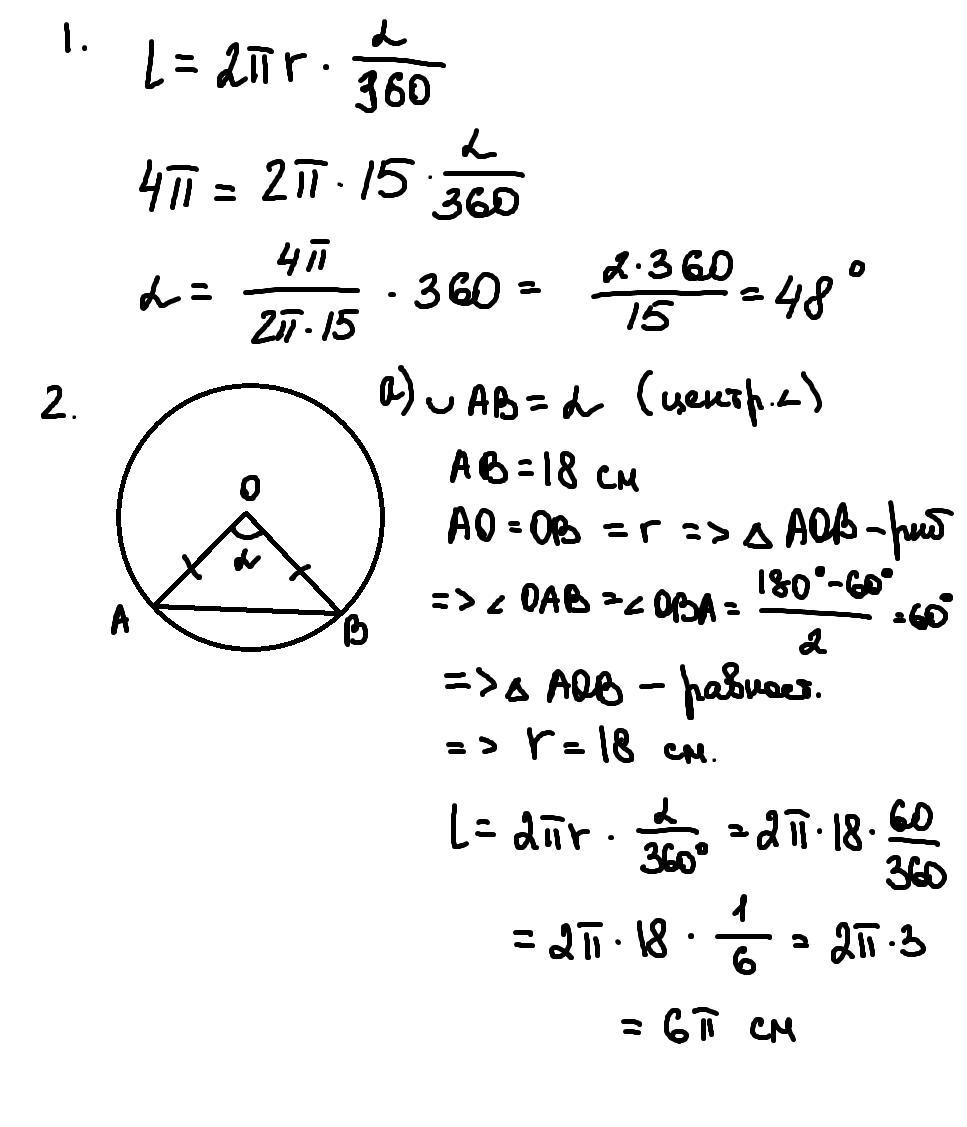
1

Ответ:

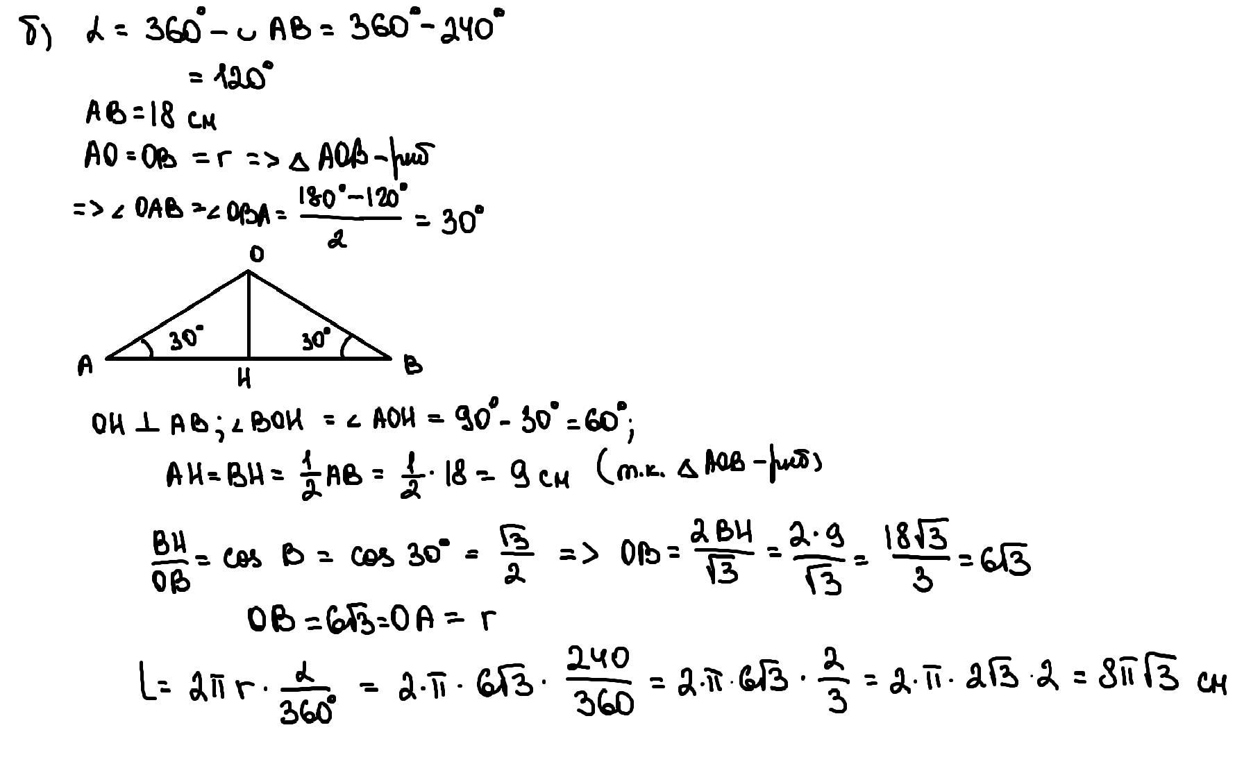
1) 48 2) а) 6\pi б) 8\sqrt[]{3}\pi

Пошаговое объяснение:

Приложения:
Вас заинтересует