известно что сумма квадратов корней уравнения
-3x+a=0 равна 12.Найдите q. ПОЖАЙЛУСТА помогите!!!!!!!!!
Ответы
Ответ дал:
0
теорема виета
ax^2+bx+c=0
x1+x2=-b/a
x1*x2=c/a
x^2-3x+a=0
x1+x2=3
x1x2=a
x1^2+x2^2=12
x1^2+2x1x2+x2^2-2x1x2=12
9-2a=12
2a=-3
a=-3/2
ax^2+bx+c=0
x1+x2=-b/a
x1*x2=c/a
x^2-3x+a=0
x1+x2=3
x1x2=a
x1^2+x2^2=12
x1^2+2x1x2+x2^2-2x1x2=12
9-2a=12
2a=-3
a=-3/2
Ответ дал:
0
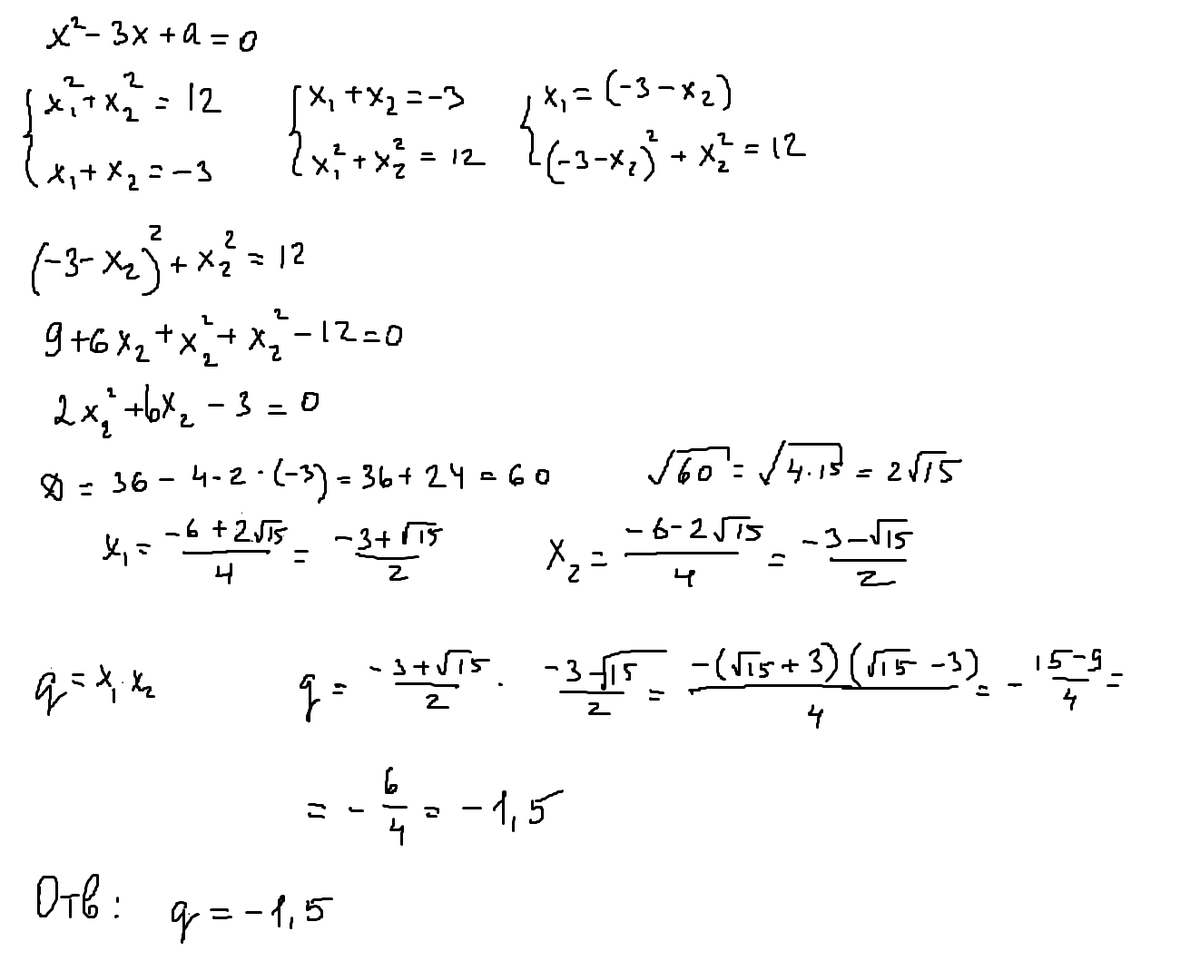
решениеееееееееееееееееееее
Приложения:
Вас заинтересует
3 года назад
3 года назад
8 лет назад
11 лет назад