• Предмет: Алгебра
  • Автор: St3paSHka
  • Вопрос задан 8 лет назад

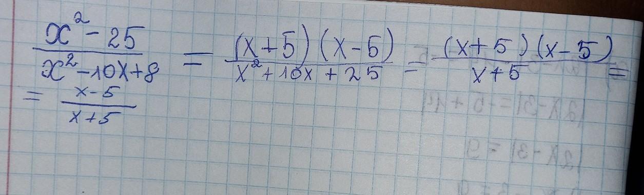
Скоротіть дріб: x^2-25/x^2-10x+8

Ответы

Ответ дал: asia32225
1

вот,смотри............)

Приложения:
Вас заинтересует