Ответы
Ответ дал:
1
Объяснение:
ррссрсрсрспснснснснсрананвеевечяе
Приложения:

gachaangel90:
спасибочки
Ответ дал:
1
Ответ:
Объяснение:
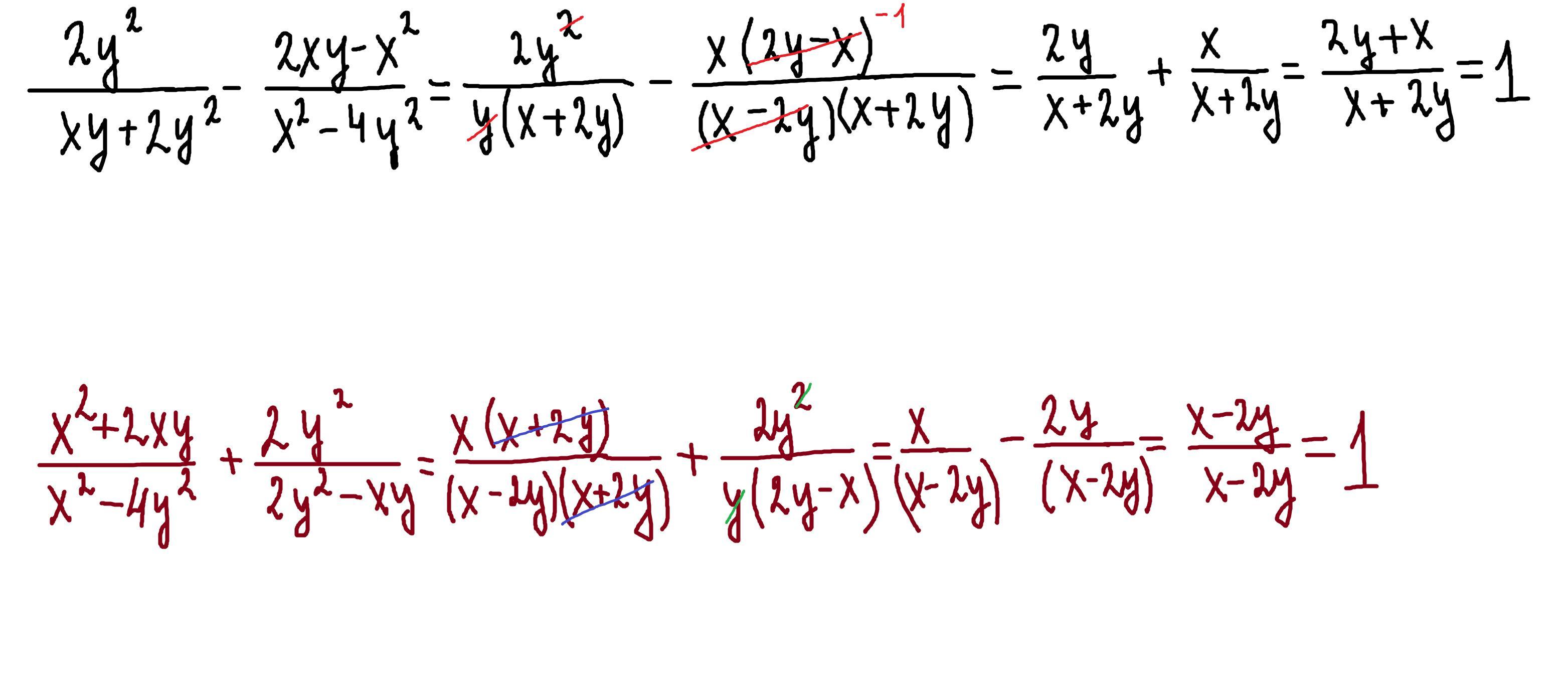
решение внизу.Значение выражений равно 1,и не зависит от Х и У
Приложения:

Вас заинтересует
2 года назад
2 года назад
3 года назад
8 лет назад
8 лет назад
9 лет назад