Ответы
Ответ дал:
1
Ответ:
9
Объяснение:
Ответ дал:
2
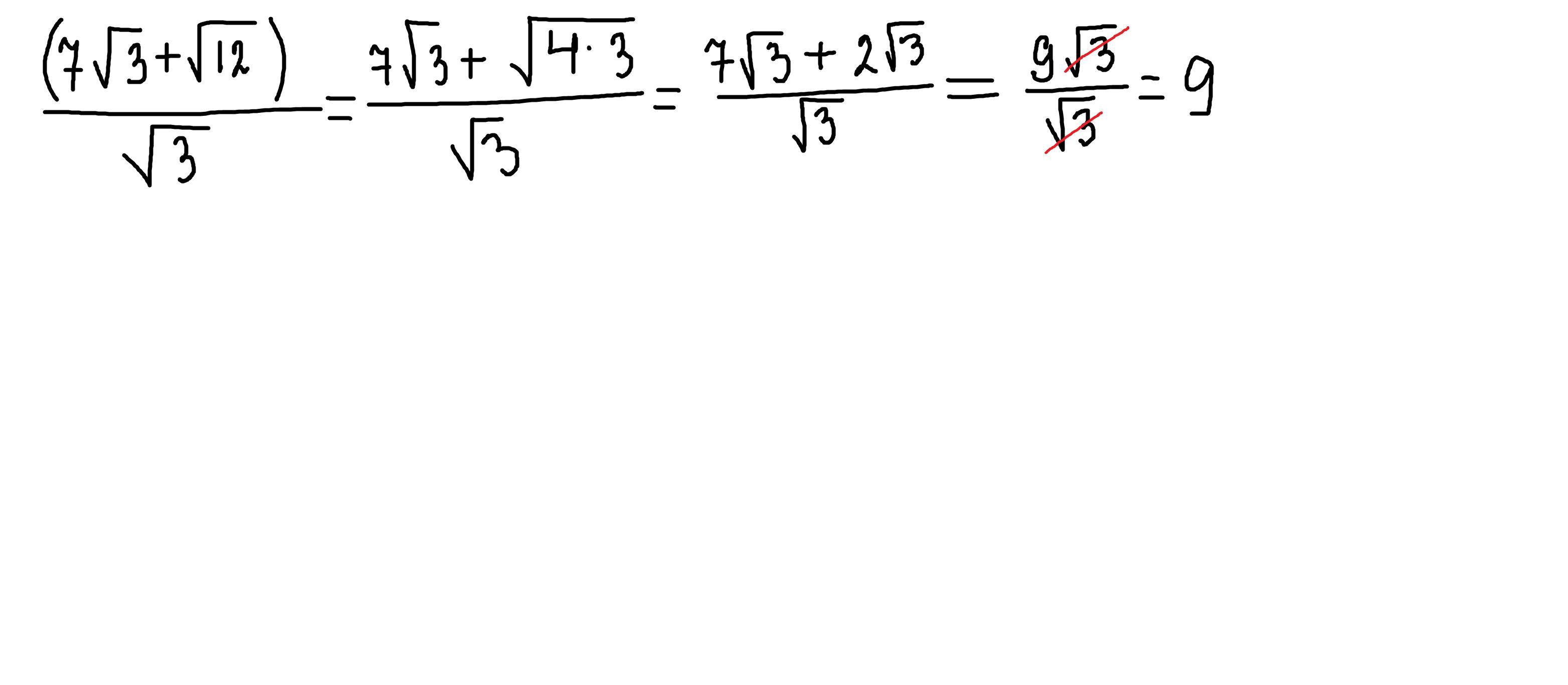
Ответ:
9
Объяснение:
решение внизу
Приложения:

Вас заинтересует
2 года назад
2 года назад
3 года назад
3 года назад
8 лет назад
9 лет назад
9 лет назад