Ответы
Ответ дал:
1
Вот решение , обращайся
Приложения:

Ответ дал:
1
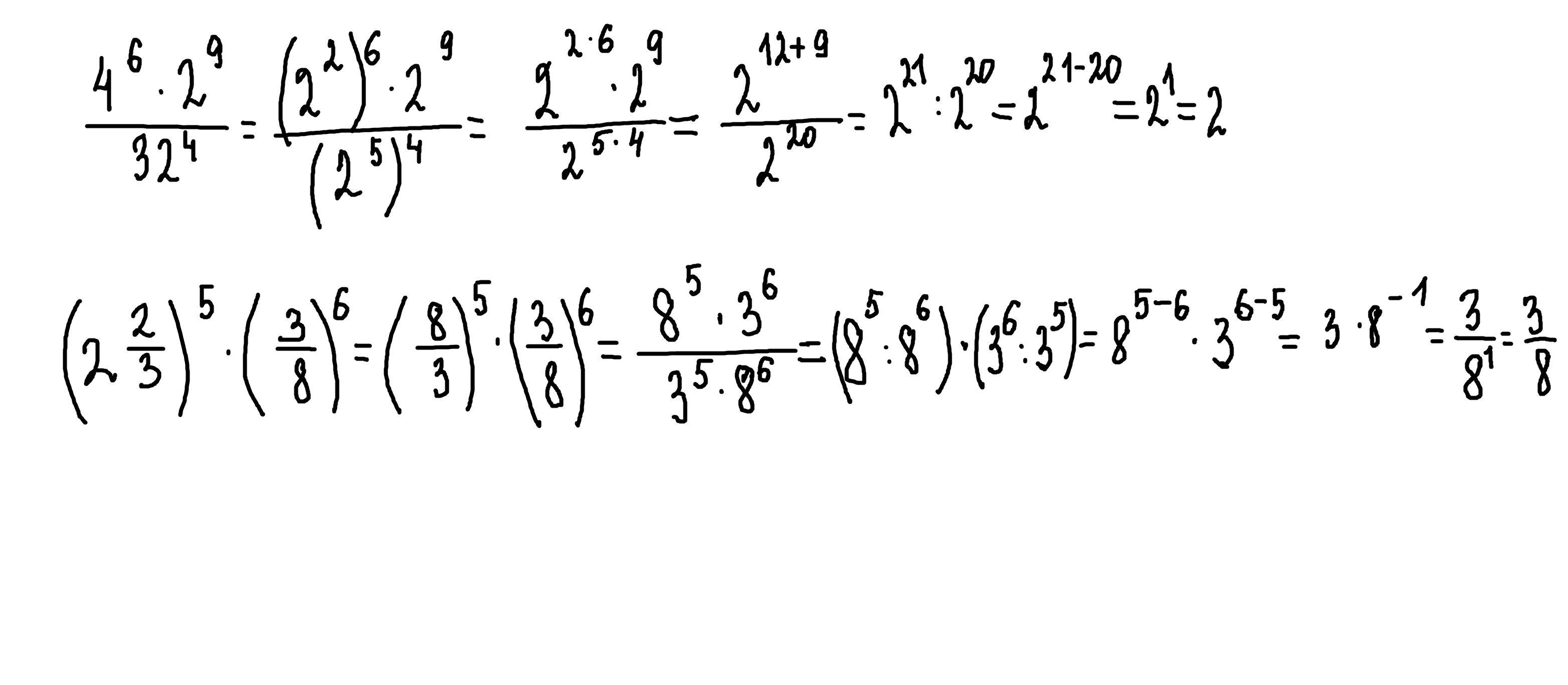
Ответ:
Пошаговое объяснение:
решение внизу
Приложения:

Вас заинтересует
2 года назад
3 года назад
8 лет назад
8 лет назад