Будь ласка допоможіть! Мені терміново
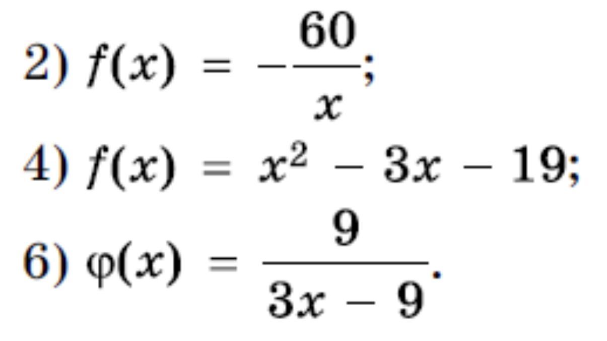
Прошу знайдіть область визначення функцій:
потрібен також проміжок
Приложения:

Ответы
Ответ дал:
1
Ответ:
Вас заинтересует
2 года назад
2 года назад
3 года назад
3 года назад
8 лет назад
8 лет назад
9 лет назад
9 лет назад