даны точки а(1,-1,2) В(0,4,2) С(-1,1,3) найти площадь треугольника
Ggdrope1:
Какой класс
Ответы
Ответ дал:
1
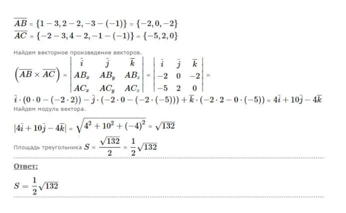
Ответ:в фото
Пошаговое объяснение:
Приложения:

Вас заинтересует
3 года назад
3 года назад
8 лет назад
8 лет назад