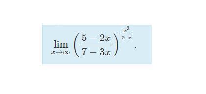
Применима ли в данном пределе формула второго замечательного предела? Вычислите предел с полным обоснованием решения:
Приложения:

Ответы
Ответ дал:
1
Ответ:не применить
Объяснение:
Приложения:

Вас заинтересует
2 года назад
3 года назад
3 года назад
8 лет назад
8 лет назад
9 лет назад
9 лет назад