• Предмет: Математика
  • Автор: jasadaniela
  • Вопрос задан 7 лет назад

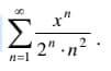
Найти область сходимости функционального ряда

Приложения:

Ответы

Ответ дал: marianasadlovska
0

Ответ:

R=2

Пошаговое решение:

Приложения:
Вас заинтересует