Ответы
Ответ дал:
1
Відповідь:
Пояснення:
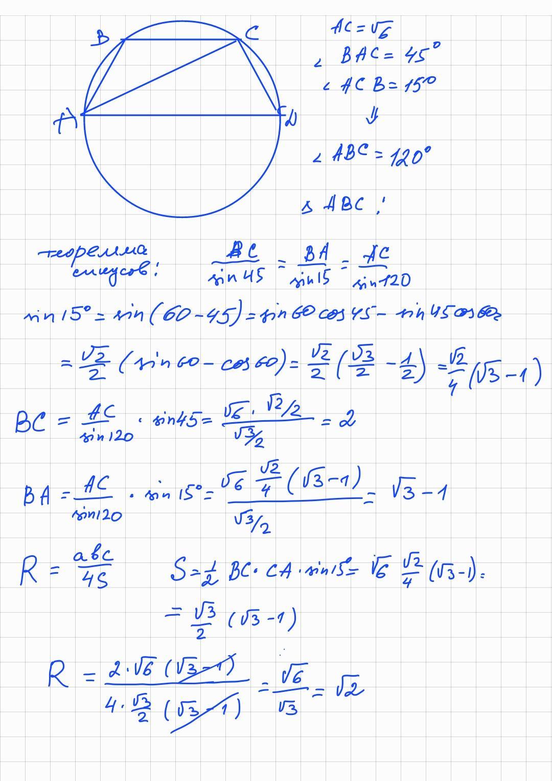
ВС=2
R=√2
Приложения:

Вас заинтересует
2 года назад
2 года назад
3 года назад
3 года назад
8 лет назад