• Предмет: Алгебра
  • Автор: Kostyayaz
  • Вопрос задан 7 лет назад

Помогите пожалуйста, Алгебра

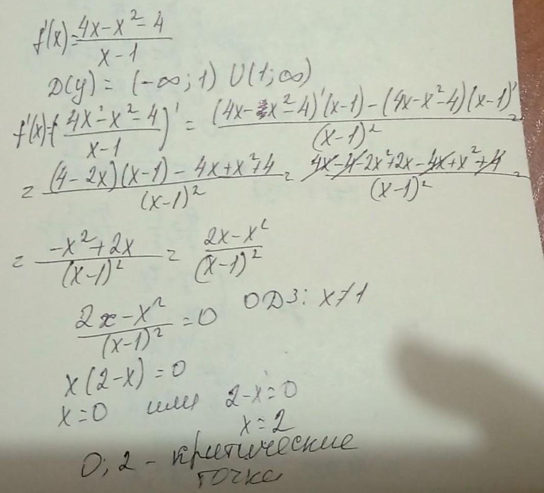
f(x)=((4x-x^(2)-4))/(x-2)

15 баллов

Ответы

Ответ дал: musakxrustunka
0

Ответ:

вот)))))))))))))))))))

Приложения:

Kostyayaz: у тебя x-1, а у меня x-2
Ответ дал: uzumakinnaruto503
1

Объяснение:

вововоовово вот извини что так написал

Приложения:
Вас заинтересует