• Предмет: Алгебра
  • Автор: Аноним
  • Вопрос задан 8 лет назад

100 баллов
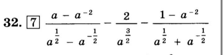
Решите выражение алгебра

Приложения:

Ответы

Ответ дал: gerinadana662
1

Ответ:

..............................

Приложения:
Вас заинтересует