• Предмет: Алгебра
  • Автор: liliya8628
  • Вопрос задан 7 лет назад

27 завдання. Будь ласкаааа

Приложения:

Ответы

Ответ дал: Clever46
1

Відповідь:

1/13 м/c

Пояснення:

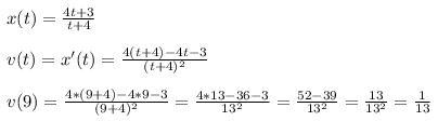
x(t)=\frac{4t+3}{t+4}

v(t)=x'(t)=\frac{4(t+4)-4t-3}{(t+4)^{2} }

v(9)=\frac{4*(9+4)-4*9-3}{(9+4)^{2} }=\frac{4*13-36-3}{13^{2} }=\frac{52-39}{13^{2} } = \frac{13}{13^{2}}=\frac{1}{13}

Приложения:

Clever46: змінив рішення
liliya8628: Дякую
liliya8628: Але погано видно
Вас заинтересует