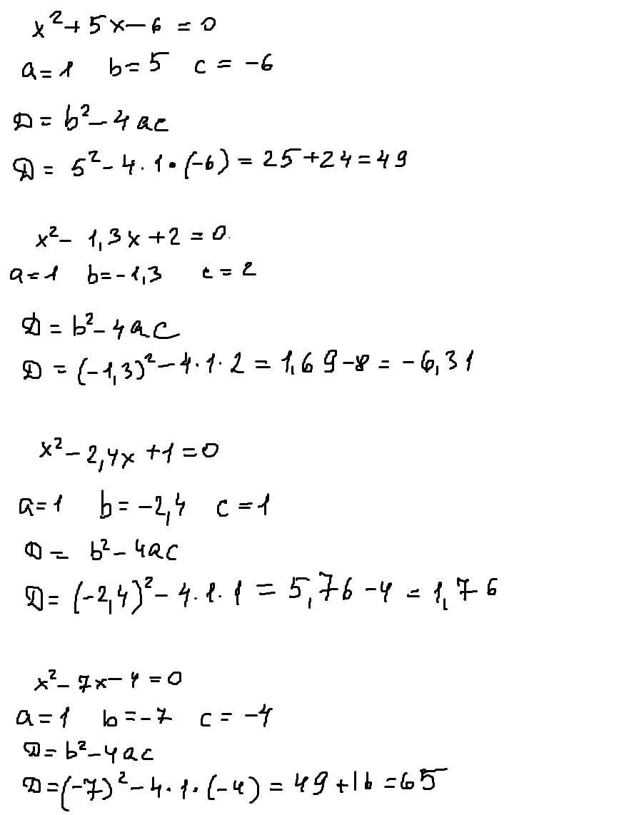
Найдите дискриминант квадратного уравнения:
а) x^2+5x-6=0
б) x^2-1,3x+2=0
в) x^2-2,4+1=0
г) x^2-7x-4=0
Ответы
Ответ дал:
0
Если понравилось решение - нажимай "спасибо" и "лучший" (рядом с кнопкой "спасибо") :)
Приложения:

Ответ дал:
0
А можешь ещё помочь? http://znanija.com/task/4632068
Ответ дал:
0
чуть позже
Вас заинтересует
2 года назад
2 года назад
8 лет назад
10 лет назад
10 лет назад
10 лет назад