• Предмет: Математика
  • Автор: crazy666000
  • Вопрос задан 8 лет назад

Помогите пожалуйста с этим примером!!!!

Приложения:

Ответы

Ответ дал: mic61
0

Ответ:

x=-5

Пошаговое объяснение:

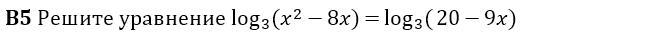
log₃(x²-8x)=log₃(20-9x);

1. Найдем область допустимых значений для х:

x²-8x>0;  x(x-8)>0;  x∈(-∞;0) ∪ (8;+∞)

               x>0;        x>0;              x<0;        x<0;            

               x-8>0;    x>8;              x-8<0;    x<8;

                   x∈(8;+∞);                      x∈(-∞;0);

20-9x>0;  x < 20/9;     x∈(-∞;20/9);        

x ∈ {(-∞;0) ∪ (8;+∞)}  ∩  (-∞;20/9);    

ОДЗ x ∈ (-∞;0);

2. Учитывая, что основания логарифмов справа и слева одинаковы:

x²-8x=20-9x;

x²-8x+9x-20=0;

x²+x-20=0;   D=1+80=81;

x₁₂=0.5(-1±9);

x₁=-5;  подходит

x₂=4;  не подходит по ОДЗ.

Вас заинтересует