Ответы
Ответ дал:
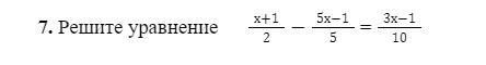
0
Объяснение:
Там на 3 строке ещё допиши =0
Я забыла дописать
Приложения:

Вас заинтересует
2 года назад
2 года назад
3 года назад
8 лет назад
9 лет назад
9 лет назад