• Предмет: Алгебра
  • Автор: katy123654789
  • Вопрос задан 10 лет назад

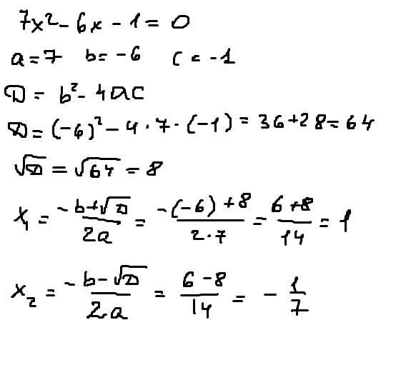
7х квадрат -6х-1ровно 0

Ответы

Ответ дал: esmilya
0
решениееееееееееееееееееее
Приложения:
Ответ дал: vasylina
0
7x^2-7x+x-1=0. (7x^2-7x)+(x-1)=0. 7x(x-1)+(x-1)=0. (7x+1)(x-1)=0. 7x+1=0 или х-1=0 х=1/7 и х=1
Приложения:
Вас заинтересует