• Предмет: Алгебра
  • Автор: nepizdi666
  • Вопрос задан 7 лет назад

Срочно помогите смотреть картинку!!!!!

Приложения:

Ответы

Ответ дал: Аноним
1

Ответ на фотографии.

Приложения:
Ответ дал: dian4ik336
0

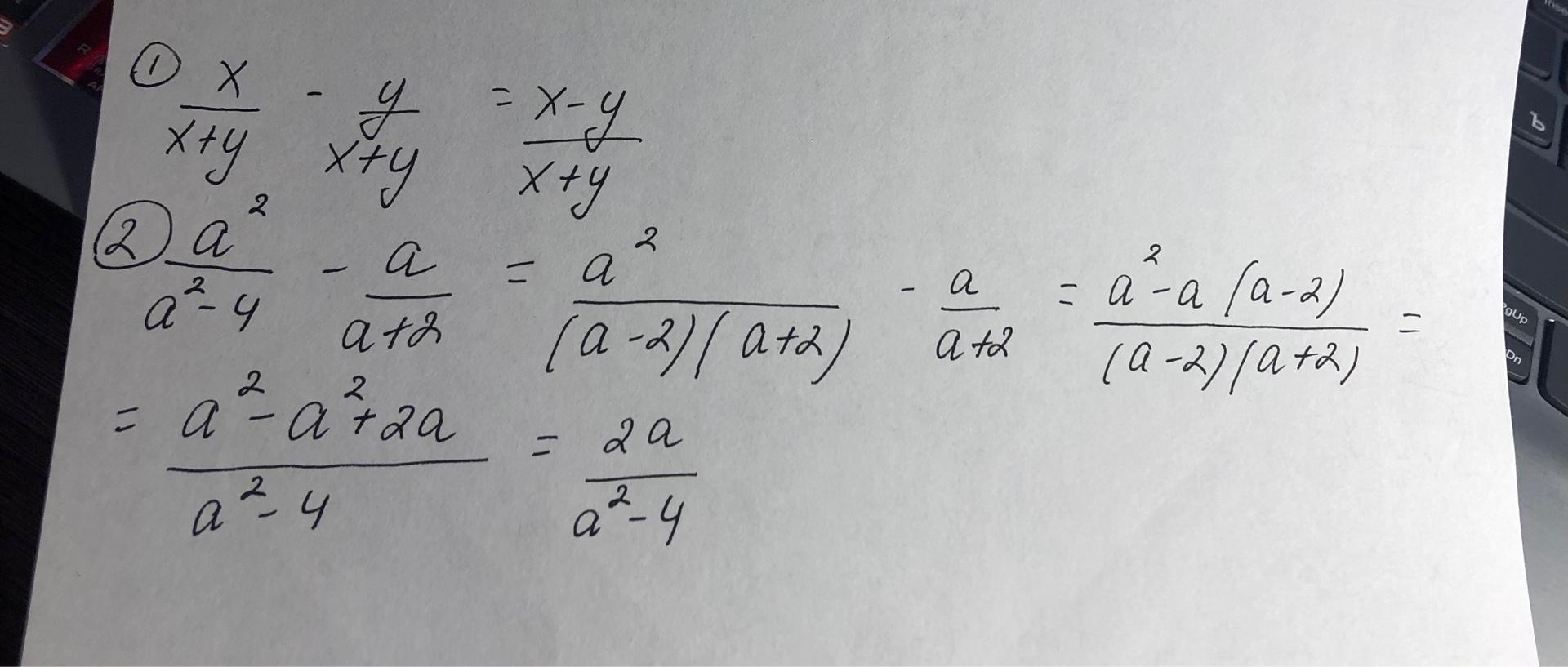
Ответ:

\frac{x}{x+y}  - \frac{y}{x+y}  = \frac{x - y}{x + y}

\frac{a^{2} }{a^{2} - 4 }  - \frac{a}{a+2} = \frac{a^{2} }{(a-2)(a+2)}  - \frac{a}{a +2} = \frac{a^{2} - a^{2} + 2a}{(a-2)(a+2)}  = \frac{2a}{a^{2} - 4}

Объяснение:

Вас заинтересует