• Предмет: Алгебра
  • Автор: Софи100500
  • Вопрос задан 10 лет назад

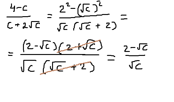
Помогите пожалуйста сократить дробь  4-с                    с+ 2* sqrt(с)

Ответы

Ответ дал: esmilya
0
Если понравилось решение - нажимай "спасибо" и "лучший" (рядом с кнопкой "спасибо") :)
Приложения:
Ответ дал: Voxman
0
frac{4 - c}{c + 2sqrt{c}} = frac{(2 - sqrt{c})(2 + sqrt{c})}{sqrt{c}(sqrt{c}+2)} = frac{2 - sqrt{c}}{sqrt{c}} = frac{2}{sqrt{c}} - 1
Приложения:
Вас заинтересует