• Предмет: Геометрия
  • Автор: kidrauhl1
  • Вопрос задан 10 лет назад

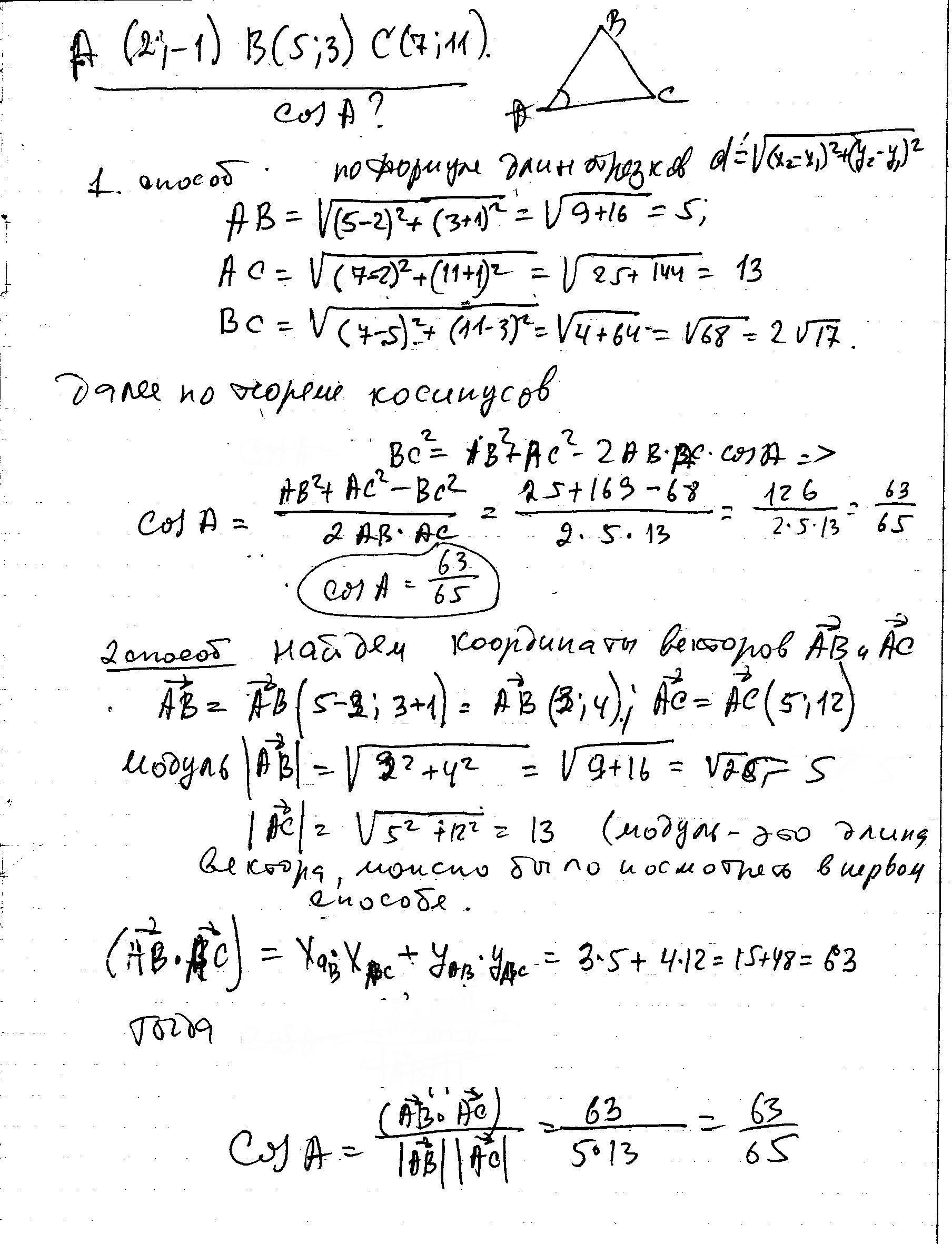
Даны три вершины треугольника ABC: A (2;-1), B (5;3), C (7;11). Найдите значение cosA

Ответы

Ответ дал: ужнеужели
0
Даны три вершины треугольника ABC: A (2;-1), B (5;3), C (7;11). Найдите значение cosA
Приложения:
Вас заинтересует