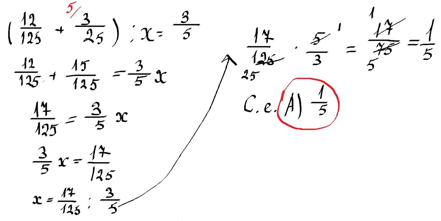
Яке из чисел есть коренем равнения ( 12/125 + 3/25 ) / х = 3/5
А 1/5 Б 9/25 В 3/5 Г 1 Памагите C абеснением
Ответы
Ответ дал:
0
Ответ:
27/125x=3/5
27×5=125x×3
135=375x
x=9/25
жауабы:Б 9/25
Ответ дал:
0
Ответ:
..................
Пошаговое объяснение:
Приложения:

Вас заинтересует
2 года назад
2 года назад
3 года назад
3 года назад
8 лет назад
8 лет назад
9 лет назад