• Предмет: Алгебра
  • Автор: xxxmgg
  • Вопрос задан 7 лет назад

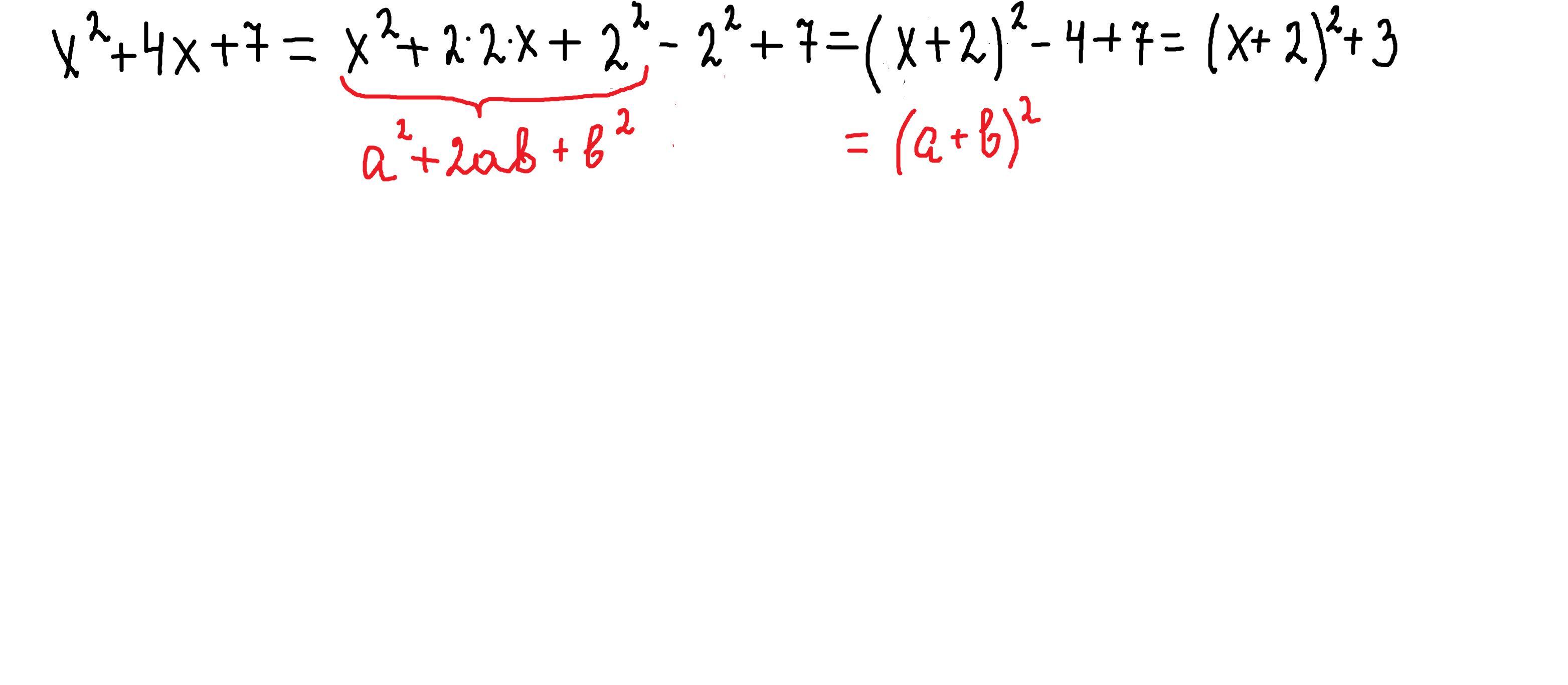
выделите квадрат двучлена из квадратного трехчлена х2+4х+7
помогите!!

Ответы

Ответ дал: parus77
3

Ответ:

Объяснение:

решение внизу

Приложения:

xxxmgg: спасибо большое!!!!
Вас заинтересует