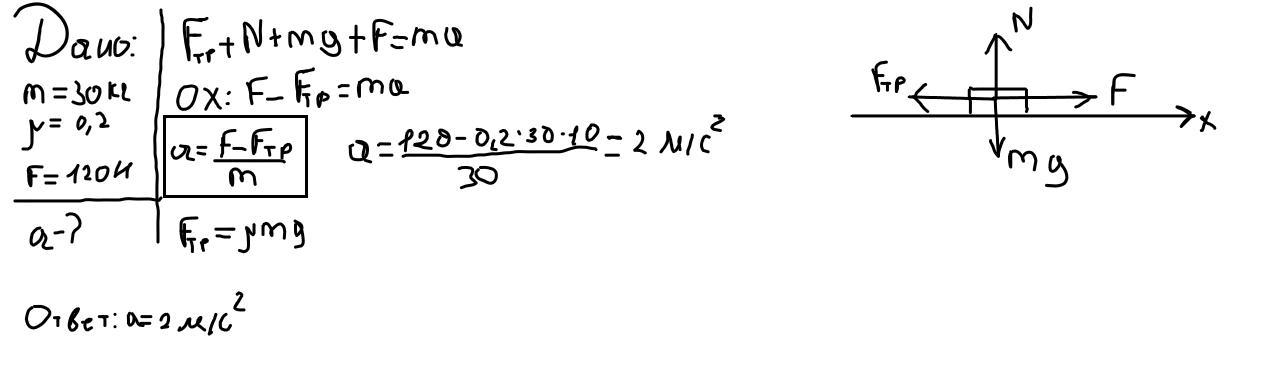
На горизонтальной поверхности лежит коробка массой 30 кг. Коэффициент трения между коробкой и поверхностью равен 0,2. С каким ускорением начнет двигаться коробка, если к ней приложить горизонтальную силу 120 Н?
Найдите ответ в м/с2. Округлите полученный результат до целого числа.
В поле ответа впишите только число без единиц измерения.
Ответы
Ответ дал:
1
Ответ:
Объяснение:
Ускорение, полученное телом в результате взаимодействия, прямо пропорционально равнодействующей всех сил, действующих на тело, и обратно пропорционально массе тела.
После делаем проекции на OX
Приложения:

Вас заинтересует
2 года назад
2 года назад
8 лет назад
9 лет назад