• Предмет: Физика
  • Автор: HwaSa2
  • Вопрос задан 7 лет назад

Допоможіть будь ласка
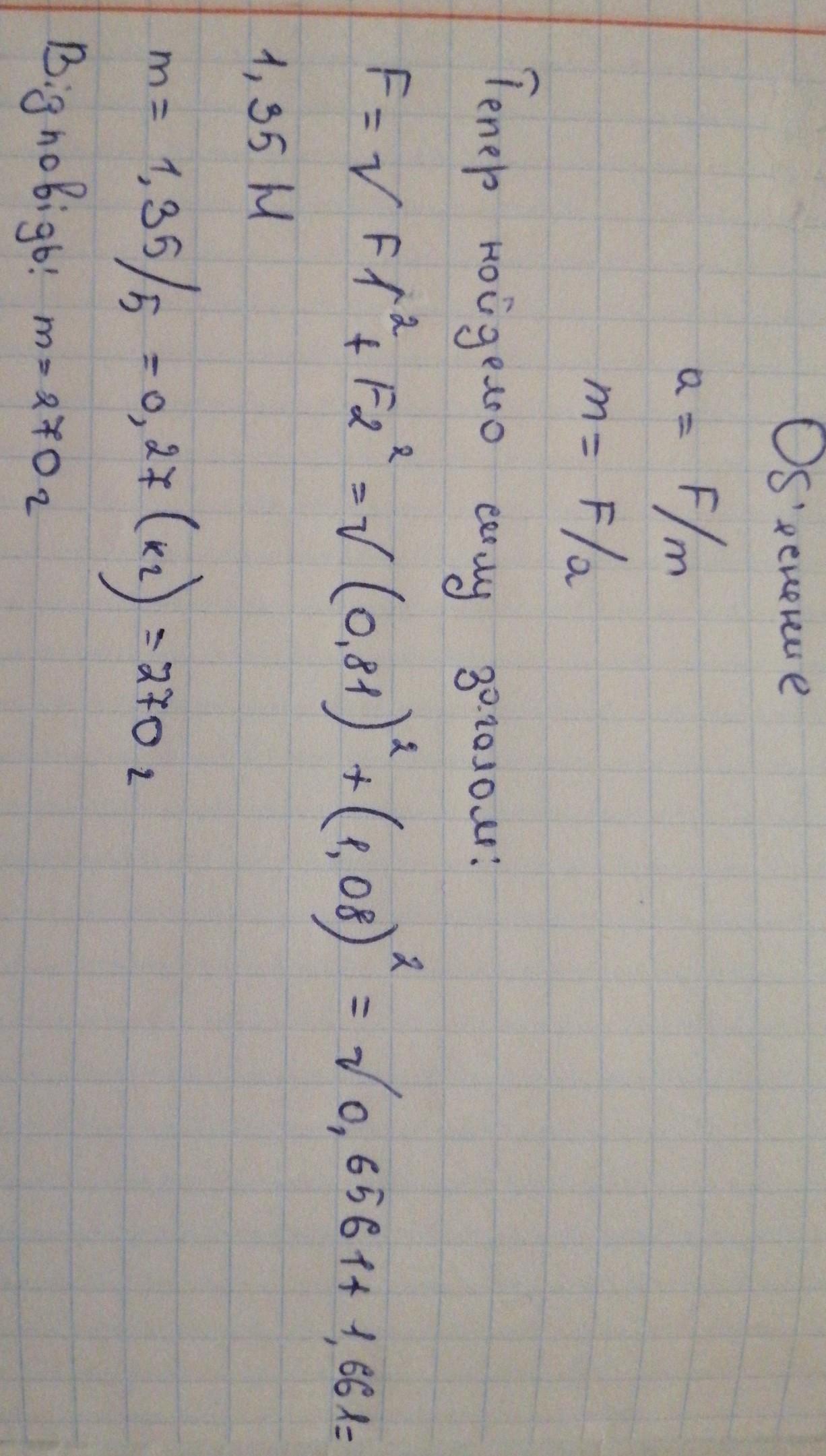
Більярдна куля під дією двох взаємно перпендикулярних сил 0.81 і 1.08 Н набуває прискорення 5м/с²визначте масу кулі

Ответы

Ответ дал: taaseverin
2

Ответ:

270г

Объяснение:

Думаю почерк будет понятен

Приложения:

HwaSa2: Почерк хороший)спасибо большое
Вас заинтересует