• Предмет: Алгебра
  • Автор: nimbasicym
  • Вопрос задан 7 лет назад

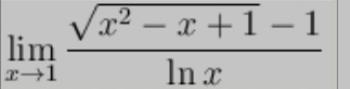
Вычислить предел функции.

Приложения:

Ответы

Ответ дал: nikdremov63
1

Ответ: \frac{1}{2}.

Объяснение:

\lim_{x\to1} \ \frac{\sqrt{x^2 - x + 1} - 1}{lnx}

Для числителя:

\lim_{x\to \1} (\sqrt{x^2 - x + 1} -1) = 0

Для знаменателя:

\lim_{x\to\\1} log(x) =0

Избавимся от неопределённости:

\lim_{x\to1 }\ (\frac{\sqrt{(x^2 - x) + 1} - 1}{log(x)}) =

Преобразуем функцию под знаком предела:

\lim_{x\to1 }\ (\frac{\sqrt{x(x - 1) + 1} - 1}{log(x)}) =

\lim_{x \to \ 1 }  (\frac{\frac{d}{dx}(\sqrt{x^2 - x + 1} - 1)  }{\frac{d}{dx}log(x) } ) =

\lim_{x \to \ 1}  (\frac{x(x - \frac{1}{2} )}{\sqrt{x^2 - x + 1} } ) =

\lim_{x \to \ 1} (\frac{x}{2} ) =

\frac{1}{2}

(Было применено правило Лопиталя, (т.е. мы взяли производную от числителя и знаменателя 1 раз), так как у нас неопределённость типа 0/0.)

Вас заинтересует