• Предмет: Алгебра
  • Автор: maha240207
  • Вопрос задан 8 лет назад

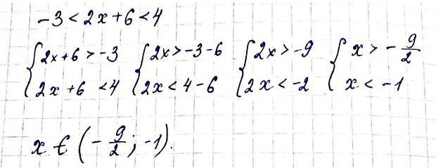
знайти цілі розв язки нерівності -3<2х+6<4​

Ответы

Ответ дал: Аноним
1

Ответ на фотографии.

Приложения:
Ответ дал: Аноним
1

см. вложение...........

Приложения:
Вас заинтересует