• Предмет: Математика
  • Автор: marijas14
  • Вопрос задан 7 лет назад

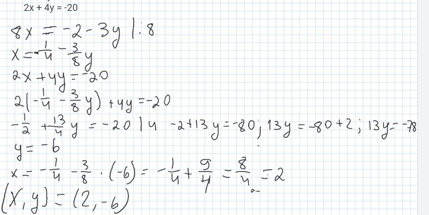
Помогите решить систему методом подстановки, пожалуйста!
8х+ 3y = -2
2x + 4y = -20​

Ответы

Ответ дал: Аноним
1

Ответ на фотографии.

Приложения:
Ответ дал: dm1502
0

Ответ:

прикрепил

Пошаговое объяснение:

суть метода Выразить одну переменную через другую из любого уравнения системы. Выразили, подставляем в другое уравнение, решаем, получаем ответ

Приложения:
Вас заинтересует