• Предмет: Математика
  • Автор: bednyaga34
  • Вопрос задан 7 лет назад

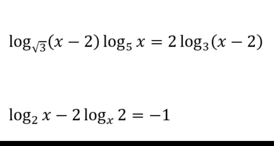
Решите пж, рял срочно надо, добрые люди помогите.. ​

Приложения:

HekitBce3nayka: да
bednyaga34: пасиба :)) ты рял лучший
HekitBce3nayka: стараюсь

Ответы

Ответ дал: HekitBce3nayka
1

Ответ:

как-то так, во втором делаем замену переменной

Приложения:

bednyaga34: =0?
HekitBce3nayka: да
bednyaga34: Спасибо ❤ ❤ ❤ ❤
HekitBce3nayka: ойойо я ток щ увидел во втором там х1 = 0,2 а х2 = 2
bednyaga34: окей а то что с лево написано так же оставлять?
HekitBce3nayka: да
bednyaga34: слушай, тебе в вк или в телеграмме можно отправить другие примеры такие же? ты проверишь правильно сделано или нет. чтоб я знала. списывать с одногруппницы или нет
HekitBce3nayka: давай
HekitBce3nayka: телега
HekitBce3nayka: @nikita228aye
Вас заинтересует