• Предмет: Математика
  • Автор: alinazasiadvovk888
  • Вопрос задан 8 лет назад

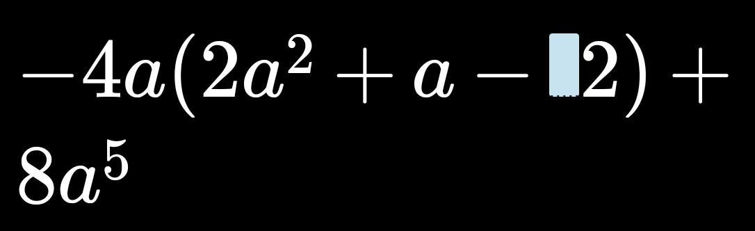
Якщо а=2
Помогите
Файл тут

Приложения:

Ответы

Ответ дал: anton2006k
0

Ответ:

240

Пошаговое объяснение:

-2(8+2-2)+256=240

Ответ дал: Figop
1

Ответ:192

Пошаговое объяснение:

- 4 x 2 x (2 x 2^2+ 2-2)+8×2^5=-8×8+8×32=-64+256=192

Вас заинтересует