Ответы
Ответ дал:
0
Ответ:
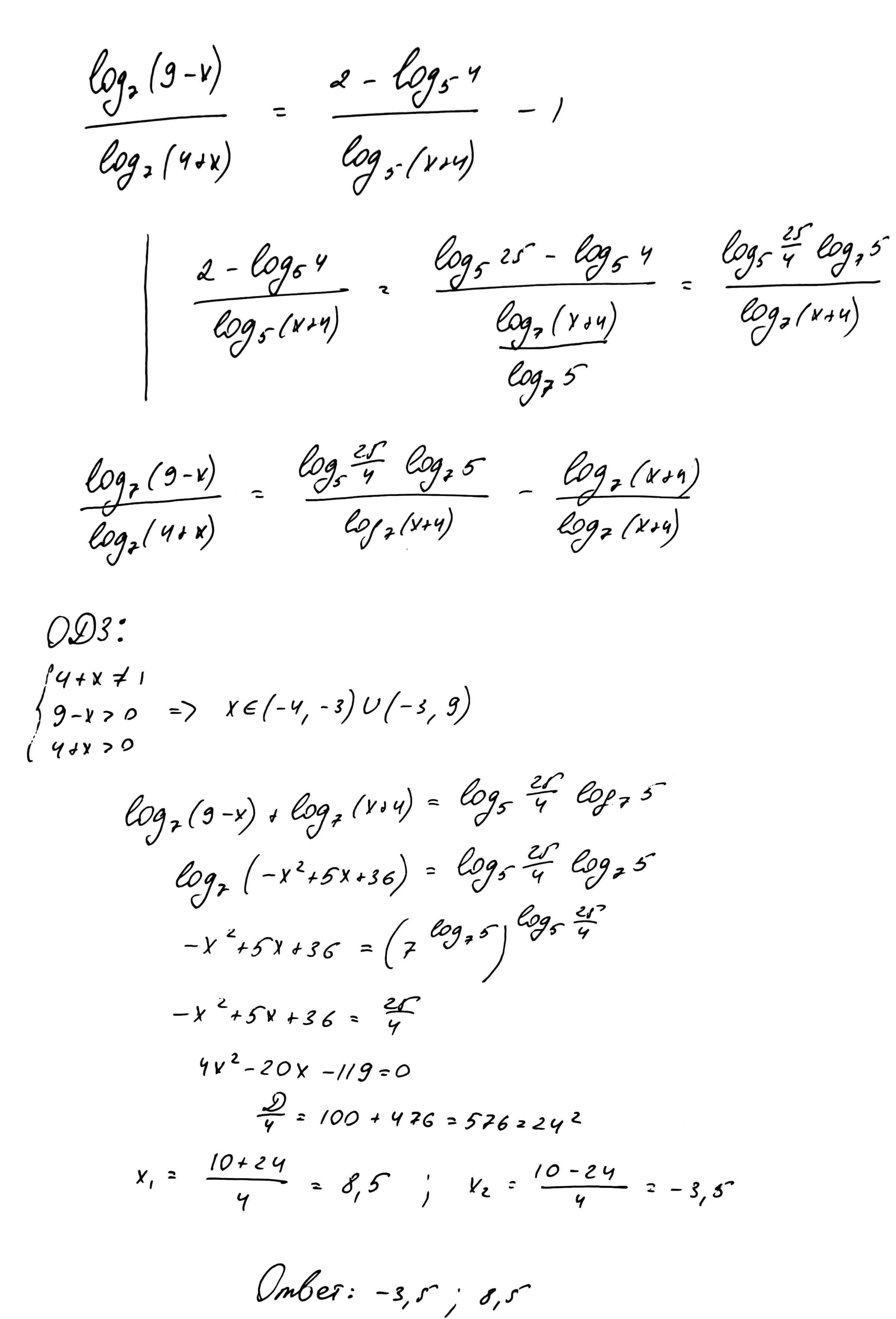
x=-3.5, x=8.5
Объяснение:
Смотреть в скане
Приложения:

Вас заинтересует
2 года назад
8 лет назад
9 лет назад
9 лет назад