• Предмет: Алгебра
  • Автор: sduo2371
  • Вопрос задан 7 лет назад

Помогите пж даю 50 балов
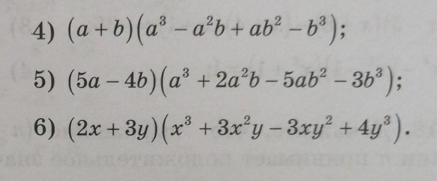
Выполните умножение только 6 надо​

Приложения:

sduo2371: помогите пж
sduo2371: срооооооооочноо
sduo2371: быстреее пж

Ответы

Ответ дал: sangers1959
1

Объяснение:

6)

(2x+3y)(x^3+3x^2y-3xy^2+4y^3)=\\=2x^4+6x^3y-6x^2y^2+8xy^3+3x^3y+9x^2y^2-9xy^3+12y^4=\\=2x^4+9x^3y+3x^2y^2-xy^3+12y^4.


sduo2371: спосибо большое но уже поздно
Вас заинтересует