• Предмет: Алгебра
  • Автор: mikhazakharov99
  • Вопрос задан 7 лет назад

Сократите эти 3 дроби, с меня 25 балов :3

Приложения:

Ответы

Ответ дал: SirWallon
1

Объяснение:

1).

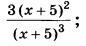
 \frac{3 {(x + 5)}^{2} }{ {(x + 5)}^{3} }  =  \frac{3}{x + 5}

2).

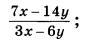
 \frac{7x - 14y}{3x - 6y}  =  \frac{7(x - 2y)}{3(x - 2y)}  =  \frac{7}{3}  = 2 \frac{1}{3}

3).

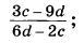
[tex] \frac{3c - 9d}{6d - 2c} = \frac{3(c - 3d)}{2(3d - c)} = \frac{-3}{2} = - 1.5 [/tex]


mikhazakharov99: Только ты про 3 забыл
mikhazakharov99: ты решишь 3 ?
mikhazakharov99: прошу
SirWallon: 3c-9d/6d -2c = 3(c-3d)/2(3d-c) = -3/2 = -1,5
Вас заинтересует