• Предмет: Алгебра
  • Автор: Dov4k1n
  • Вопрос задан 7 лет назад

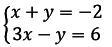
Задание 2 (18 баллов).

Определите количество решений системы графическим методом:
Запишите алгоритм построения заданных графиков и подпишите их при построении.

Приложения:

Ответы

Ответ дал: schetinkov2563
33

Ответ:

Одно решение.

Объяснение:

Начертим графики функций (прямых).

y = -x-2; y = 3x-6

Синий график - y = -x-2

Красный график - y = 3x-6

Построение:

В y = -x-2 подставим x = 0 и x = 1. Получим соответственно y = -2 и y = -3

Проведем прямую через две получившиеся точки на координатной плоскости.

В y = 3x-6 подставим x = 0 и x = 1. Получим соответственно y = -6 и y = -3

Проведем прямую через две получившиеся точки на координатной плоскости.

Точка пересечения будет (а она точно будет, так как угловые коэффициенты не равны у данных прямых) всего только одна ⇒ кол-во решений будет равно единице.

Приложения:

Dov4k1n: СПАСИБО
Dov4k1n: ЕЩЕ ПЛИЗ РЕШИ ОДНО у меня в профиле
leylikhiphop2: спасибо большое:)
Вас заинтересует