• Предмет: Алгебра
  • Автор: adammickevic99
  • Вопрос задан 7 лет назад

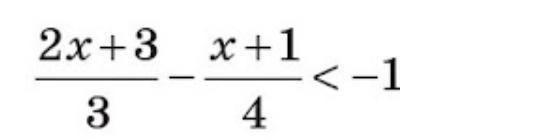
Розв'яжіть нерівність

Приложения:

Ответы

Ответ дал: ViktoriaPobloki
1

 \frac{2x + 3}{3}  -  \frac{x + 1}{4} <  - 1 \\ 4(2x + 3) - 3(x + 1) + 12 < 0 \\ 8x + 12 - 3x - 3 + 12 < 0 \\ 5x <  - 21 \\ x <  -  \frac{21}{5} \\ x <  - 4.2


matilda17562: Нет окончательного ответа в виде промежутка
Вас заинтересует